各相关人员:本单位于2024年7月受理简阳市文化体育中心(东来印象)地下室无机涂料、腻子项目拖欠农民工工资投诉一案(简人社处〔2024〕07号),目前该项目劳务公司四川康义华建设工程有限公司提供的拖欠农民工工资线索,尚有附件所列人员未配合我单位进行调查,根据《关于实施<劳动保障监察条例>若干规定》第十三条规定,通知你们尽快到简阳市人力资源和社会保障局配合调查(工作日:上午9:00-下午5:00)。如不到我单位投诉、也拒绝配合调查的,按照《劳动保障监察条例》第二十条规定,本单位今后将不再受理,本公告经过三十日视为送达。
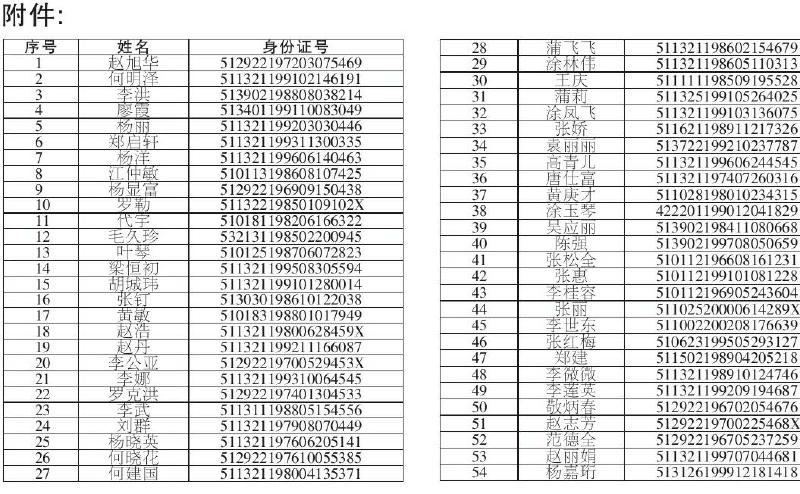
附件:人员名单
联系人:王老师、邓老师
联系电话:028-27215119
联系地址:简阳市松林路333号
特此公告。
简阳市人力资源和社会保障局
2024年8月6日