• 内江农村商业银行股份有限公司不良贷款催收公告

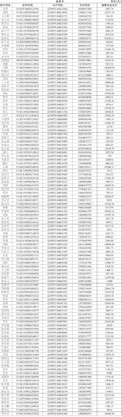
  • 下列附表所列债务人(以下简称“债务人”)与我行签订的《借款合同》项下贷款已逾期。截至本公告发布之日,债务人尚未履行还款义务。现依据债务人与我行签订的《借款合同》和信用卡《章程》之约定,以及《中华人民共和国民法典》等相关法律规定,对以下债务人所欠借款本金、利息、罚息(具体金额以合同约定及实际核算为准)予以公告催收。请各债务人自本公告见报之日起十五日内,速赴我行各营业网点清偿全部债务。逾期仍未履行的,我行将采取包括但不限于提起诉讼、申请强制执行在内的进一步法律措施,以维护我行合法权益。
      特此公告。

      内江农村商业银行股份有限公司
      2025年12月3日

分享到微信朋友圈