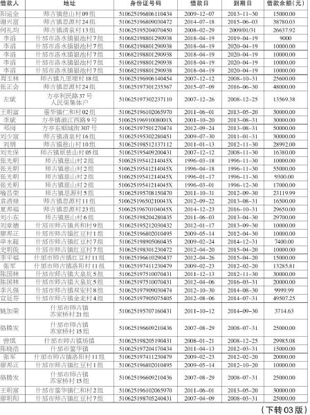
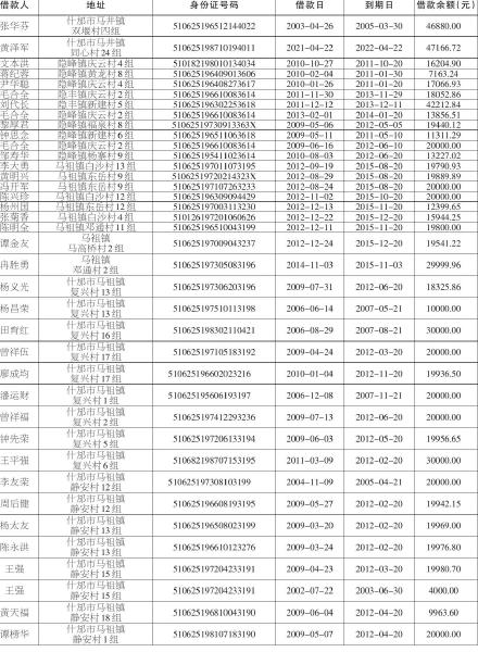
以下借款人(见附表)在德阳农村商业银行股份有限公司什邡支行所借款项均已逾期,目前借款人及保证人未按合同约定履行还本付息义务。根据相关法律规定,我行对以下借款人及保证人所借款项本金及积欠利息(积欠利息按照借款合同约定计算)进行公告催收, 在此公告三十日内,请借款人及保证人按合同规定到我行归还所借款项本金及积欠利息(积欠利息按照合同约定计算),否则,我行将依法采取相应的法律措施进行清收。 联系电话:0838-8200760 特此公告。 德阳农村商业银行股份有限公司什邡支行 2025年1月17日